28
Covid-19 pandemisinin uzun vadeli etkileri son derece
derin olabilir. Salgının baş göstermesinden hemen
sonra, çalışanların büyük bir kısmının evden çalışmaya
başladığını ve birçoğunun ücretsiz izin uygulamalarına
tabi olduklarını gördük. Orta vadede sokağa çıkma
kısıtlamalarının hafiflemesi ile beraber, kurumların tekrar
ofiste çalışma modeline geçiş hakkında düşünmeleri
önemli bir zorunluluk haline geldi. Ancak, uzun vadede
kriz, iş dünyasının geleceği ile çalışma hayatlarımızın
doğası hakkında birtakım temel soruları gündeme
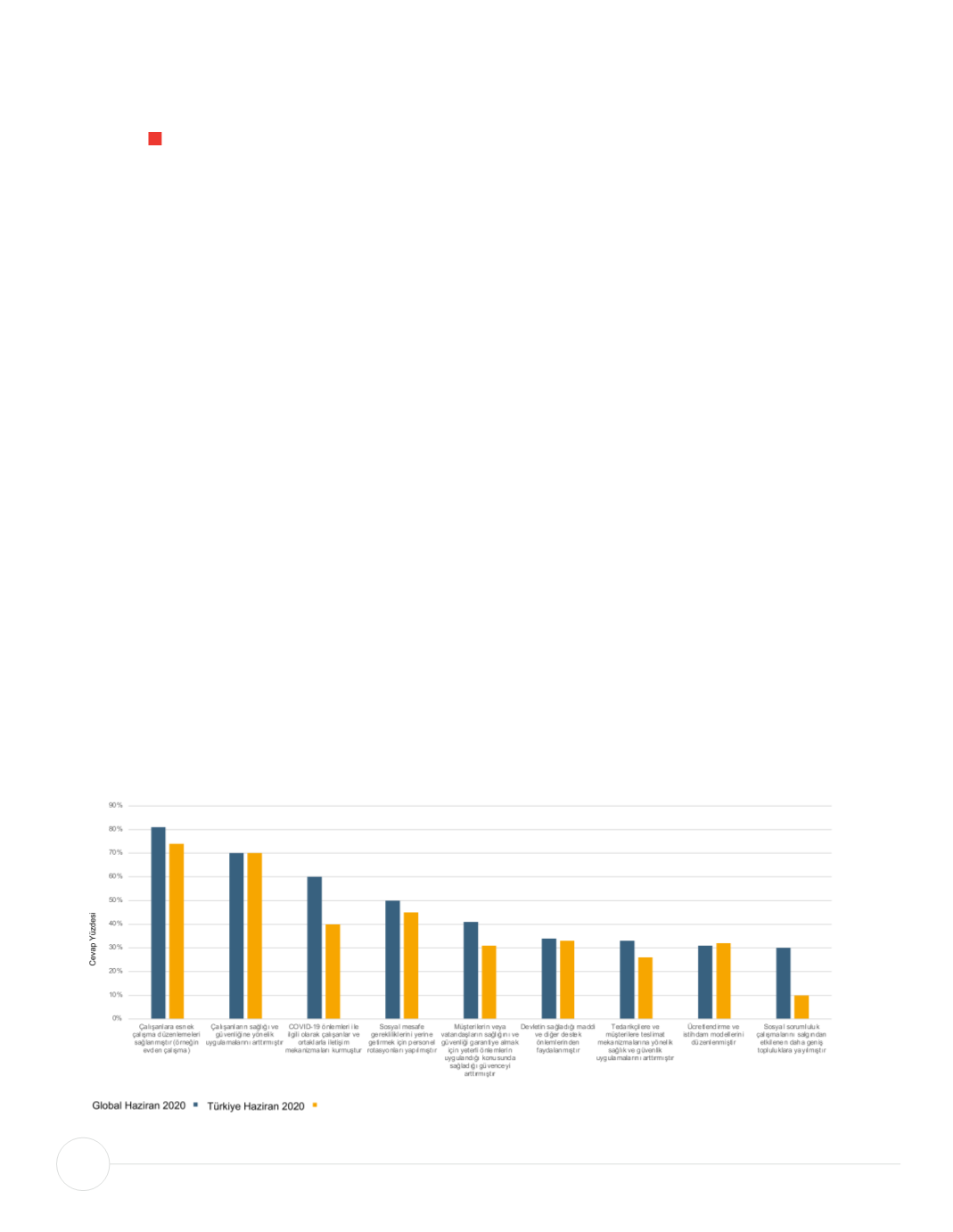
getirmeye başladı. Ankete katılanların %71’i, çalışma
uygulamalarında fiziki çalışma ortamlarına daha az
bağımlı bir dönüşümü uzun vadedeki en olası etki
olarak belirledi. Diğer taraftan, elde edilen verilere göre,
teknolojinin iş modellerinin dönüşümünde önemli bir
bozucu ve katalizör olacağı uzun vadeli potansiyel etkiler
de ortaya çıkacaktır. Risk ve kriz yönetimi stratejilerinin
daha etkin hale getirilebilmesi için, pandemiden çıkarılan
derslerin anlaşılması büyük önem taşır.




